August 11, 2025 – Washington Co., WI – Another wave of showers passed through Washington County, WI, on Sunday evening. Neighbors filed some excellent photos of the flooding in West Bend, Wi. Below photo is courtesy Sarah Malzewski. Chime in with your rainfall totals and be sure to list the community where you’re reporting from.

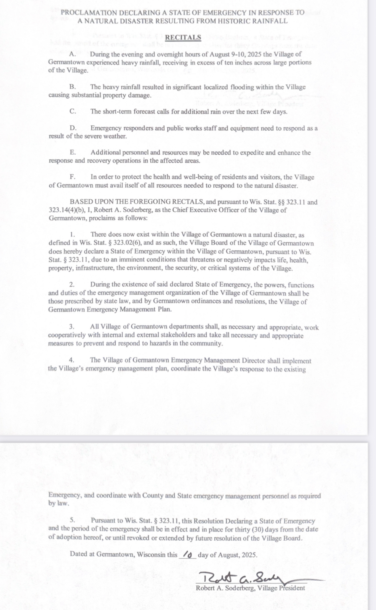
The Village of Germantown declared a State of Emergency after posting a second sanitary sewer overflow notice.

A second sanitary sewer overflow was started at 8:50 a.m. on August 10, 2025, at W172N10591 Division Road.
According to the Village, “The overflow is necessary to protect homes and businesses from severe damage and basement backups. The impacted waters are the Jefferson Ditch and the Menominee River from Main Street to the harbor of Milwaukee.
“The public is asked to stay away from the waters and the area to prevent exposure to possible pathogens present in raw wastewater.”

We Energies is also reporting power outages in Washington County with 160 out of service in Germantown, 9 without power in Richfield, and 27 without service in Hartford.

Cheryl Eskridge from Iron Ridge said, “My above ground pool was overflowing Sunday morning had to empty, then empty again around noon time. Unbelievable!”

The forecast from the National Weather Service…











